678
7
0
Automatisk lys på kontor slår seg ikke av
360
Lørenskog
0
Dette er en sak som har vært slik lenge, men jeg har blitt mer oppmerksom på det siste tiden pga. kontoret nå har vært lite brukt pga. viruset.
Ved døren er det en lysbryter med impulsfjær montert. Den styrer lyset i hele kontorlokalet. På dagtid fungerer bryteren som forventet. Ett trykk og lyset slår seg på. Neste trykk slår lyset av igjen. Det kommer da tydelig klikkelyd fra rele i sikringsskap.
Det som er rart er:
- hver morgen kl 0650 eller 0750 (avhengig av sommer/vintertid) slår lyset seg av.
Ved å trykke på lysbryter slår lyset seg på igjen.
- På kvelden står lys fast på. Trykk på lysbryter gjør ikke noe. Unødvendig med lys på kvelden, men ikke mulig å slå det av igjen.
Jeg har spurt vaktmester og huselektriker om dette, men de har ikke funnet ut hvorfor det er slik, eller klart å gjøre noe med det. Elektriker sa det ikke var noe ur i skapet, så det var umulig at lys slo seg automatisk av, men det stemmer ikke - det skjer - hver dag.
Lys går daglig av på morgenen, og står på om kvelden. Dette er jo uheldig, og jeg regner med at det må være enkelt å rette. Det virker som en klokke som har 12 timer feil, ved at det ville være naturlig at lyset slo seg av automatisk på kvelden.
Det jeg mistenker er at komponentene på bilde har noe med dette å gjøre.
Fra venstre:
- K1 kontaktor 01, lys
- K2 kontaktor 02, lys, nødlys
- Moeller - usikker på modell / hva denne gjør?
- Eaton Z-S230/SS skrittrele
- Moeller DIL ET 11-M tidsrele - har forsøkt å justere det lille hjulet fra 3m til 3h uten at det endret noe.
Ved døren er det en lysbryter med impulsfjær montert. Den styrer lyset i hele kontorlokalet. På dagtid fungerer bryteren som forventet. Ett trykk og lyset slår seg på. Neste trykk slår lyset av igjen. Det kommer da tydelig klikkelyd fra rele i sikringsskap.
Det som er rart er:
- hver morgen kl 0650 eller 0750 (avhengig av sommer/vintertid) slår lyset seg av.
Ved å trykke på lysbryter slår lyset seg på igjen.
- På kvelden står lys fast på. Trykk på lysbryter gjør ikke noe. Unødvendig med lys på kvelden, men ikke mulig å slå det av igjen.
Jeg har spurt vaktmester og huselektriker om dette, men de har ikke funnet ut hvorfor det er slik, eller klart å gjøre noe med det. Elektriker sa det ikke var noe ur i skapet, så det var umulig at lys slo seg automatisk av, men det stemmer ikke - det skjer - hver dag.
Lys går daglig av på morgenen, og står på om kvelden. Dette er jo uheldig, og jeg regner med at det må være enkelt å rette. Det virker som en klokke som har 12 timer feil, ved at det ville være naturlig at lyset slo seg av automatisk på kvelden.
Det jeg mistenker er at komponentene på bilde har noe med dette å gjøre.
Fra venstre:
- K1 kontaktor 01, lys
- K2 kontaktor 02, lys, nødlys
- Moeller - usikker på modell / hva denne gjør?
- Eaton Z-S230/SS skrittrele
- Moeller DIL ET 11-M tidsrele - har forsøkt å justere det lille hjulet fra 3m til 3h uten at det endret noe.



Dette kan kanskje være et tidsur?
Ellers, timeren lengst til høyre: har vært borti at når lyset i kontoret går på kvelden, kan en selv manuelt slå dette på igjen, men det dør på nytt etter en time. Mao en timer på impulsbryteren?
Edit. Ser ut til å være en kontaktor. Det er 3 kontaktorer i systemet. Langt ned på kurslista står
K3 forrigling varmebatteri
K4 skrittrele
K5 tidsrele
K1 og K2 synes ikke å være angitt med posisjon.
Alt tyder på at det er et ur et sted. Kan det være noe felles i et annet skap? Felles for lys i hele bygget? Følge kablingen for spolen på K1-lys? Hvor får denne strøm fra?
Edit2 Den timeren
https://www.klocknermoeller.com/dilet/dilet11-m-a.htm
https://www.klocknermoeller.com/dilet/15870703.pdf
det kan se ut til at den kan spenne over mye mer enn 3h. Ser ut til at rattet 1-10 er hovedinnstilling?
Forsøk å koble fra lederen inn på 15 på ur-enheten?
På jobb måtte de sette inn timere for at ikke alle armaturene skulle slå seg på og av samtidig, støy fra startstrøm som påvirket andre enheter, de har delt det i noen grupper, timer kan være slik fordeling.
«- hver morgen kl 0650 eller 0750 (avhengig av sommer/vintertid) slår lyset seg av.
Denne observasjonen viser at det må være et urverk som styrer dette, ikke en simpel timer. Urverket må kunne stilles. At det nå synes å gå feil kan være resultat av at en sikring har vært ute eller at uret på annen vis har vært uten strøm. Slike ur har gjerne batteribackup, men strømutfallet kan ha vært langvarig, eller batteriet for gammelt.
Jeg har lagt ved et bedre bilde.
Jeg har undersøkt noe mer på grunnlag av det som dere skriver over - og oppsummerer her slik jeg tror det fungerer:
Fra venstre:
- K1 kontaktor 01, lys (rele beveger seg når en slår lys av / på.)
- K2 kontaktor 02, lys, nødlys (rele beveger seg når en slår lys av / på.)
- K3 kontaktor 03, lys kantine (samme etasje, få meter fra sikringsskap.)
- Eaton Z-S230/SS skrittrele (knapp ute = av, inne = på - kan også trykke på knapp for å lys av/på)
- Moeller DIL ET 11-M tidsrele (når grøn led lyser står lys fast på. led av kan betjene lys med bryter)
Har også funnet det kommer en kabel med tre ledere fra etasjen under. De tre ledere er koblet til tre steder.
Her går hver farge videre, og kabel fortsetter opp til etasjen over.
- Hvit Koblet til DIL ET-11, A2 (samme som den blå kabel.)
- Sort Koblet til DIL ET-11, 18
- Brun K2, L3 (ikke helt sikker på denne, men brun kabel går videre på baksiden, og det er to brune kabler på L3
Det jeg dermed tror er tanken er det finnes et sentralt ur for bygget som indikerer "arbeidstid" eller kveld / ikke arbeidstid. Uret står trolig i en hovedtavle. Oppgaven til DIL ET11-M er å fungere som "overtidsbryter".
Dvs, å gi lys en begrenset periode utenom arbeidstid.
På et tidspunkt har dette uret blitt feil, slik at lys blir slått av på morgenen i stedet for på kvelden. For å korrigere må da sentralt ur justeres. Jeg vil spørre vaktmester på nytt.
Her er et tilfeldig eksempel: https://www.elektroimportoren.no/astro-ur-1-kanal-glx-q-21-70-ge/1431200/Product.html?Referer=googleshopping&gclid=Cj0KCQjwm9D0BRCMARIsAIfvfIYkHDiQZBIEnzfSoLtjNZ_C0_KPrWWEU03j9W5Z7SAp7dLWSKx_RyIaAsqZEALw_wcB&gclsrc=aw.ds&utm_campaign=googleshopping&utm_medium=na&utm_source=na
Kan sikkert ha mange slags utseende, men må enten se ut som et ur med visere, eller met et passende display.
Når spenning A1-A2 går på, starter innstilt timer, led begynner å blinke.
Når innstilt tid er utløpt, trekker 15-18, led lyser fast
Når spenning A1-A2 faller, faller også 15-16
Du kan forsøke å finne hvor spenning er fast og hvor den endrer seg. Eks når lyset er av, er det spenning inn på en side av K1. Når lysbryter holdes inne, kommer spenning på spolen på skrittreleet.
Stusser over det du skriver om K2 nødlys. En skulle tro at dette var på hele natten eller hele døgnet uavhengig av hvordan det vanlige lyset står. En kunne endog forvente batteribackup.
Sktittreleet har en knapp. Denne låser trolig releet i på stilling (on) eller i fri stilling(off). I off er releet styrt av impulsbryterne, i on er det låst slik at lyset står på.
Tror jeg vet hvordan mye i skaper er koblet, men ikke detaljene om 3 ledere opp og ned bortsett fra at det trolig finnes et ur i andre enden. Det hadde vært av interresse å funnet ut hvilke av disse 3 som har fast spenning, og hvilke som endrer seg med tiden 07:50
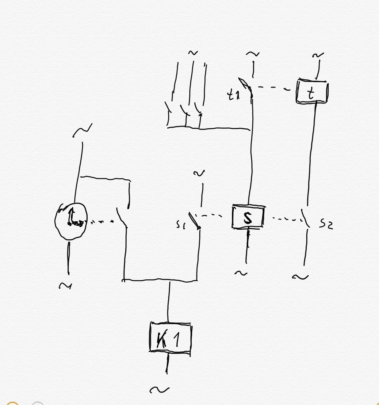
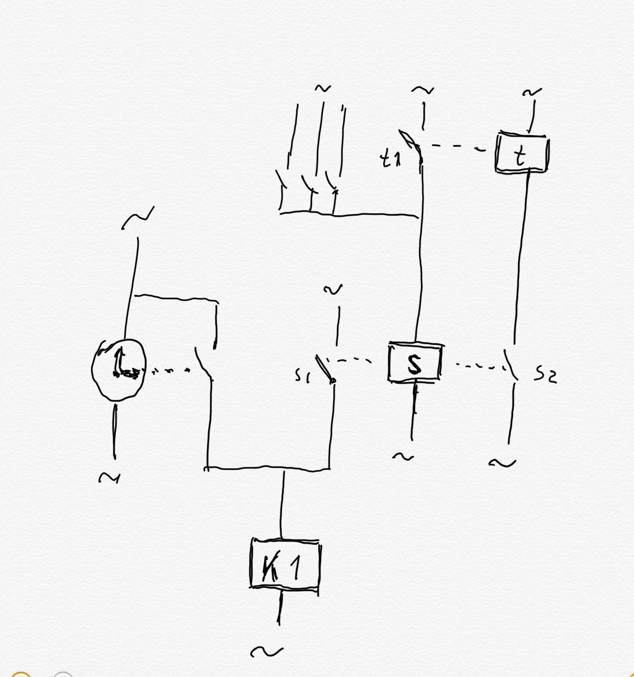
Mulig lyskobling.
- Til venstre antatt ur i annet skap. Når uret kobler inn lyset (kontaktor K1), har resten ingen funksjon.
- Når alt er urørt og uret er av, vil K1 slås på om skrittrele S er på.
- S settes på ved å trykke en av impulsbryterne.
- Idet S går på, får timeren spenning fra s2, timeren starter, men gjør ellers ikke noe. LED på timer blinker.
- Ved utgått tid, sluttes t1, dette trigger S som faller.
- s2 faller, timer faller.
- systemet er i hvile og K1 venter på ur eller nytt trykk på en impulsbryter.
En kan tvinge lyset på ved å trykke manuell bryter på S. Straks en trykker, vil LED på timer starte å blinke. Ved utgått tid vil LED lyse fast frem til at manuell bryter slås av.
Dette er vill gjetting fra min side, aldri koblet noe slikt.